ISO13849-1:2006新標準介紹 控制系統是機器的中樞,控制和檢測著整個機器設備的所有的輸入、輸出,并確保系統的正常運轉,實現既定的任務。所以,評估一臺機器的功能和安全,控制系統常常是評估的重要對象。控制系統作為工廠機器設備的重要組成部分,在確保機器的可靠工作和安全運行中起著非常重要的作用。無論設備大小,功能差異,其控制系統不外乎分為電氣、機械、液壓和氣動等系統,或由其中幾個部分組成。然而如何確保一臺設備控制系統的安全和可靠工作,卻是一個非常復雜的問題。 EN954-1的不足 在過去,我們評估一個控制系統的安全,常常是確定該控制系統的安全控制類別(CONTROL CATEGORY),這是根據EN954-1標準的要求。但是隨著新興技術的不斷涌現,這種標準不能滿足技術不斷進步的要求,加上該標準本身存在的一些缺陷,使得對新標準要求的呼聲越來越高。首先因為EN954-1標準已經使用了10多年,而沒有進行過更新,使得該標準不能適用現在一些新興技術的要求;其次,該標準主要適用氣動、液壓、電氣和部分確定的電子產品系統,不能涵蓋目前所有控制系統,特別是電子技術的快速發展;第三,使用EN954-1是建立在一定的經驗基礎和條件上,對控制系統進行的評估和確定,對于新出現的控制方法則顯得力不從心;第四,EN954-1給大家提供的只是對一個系統定性的評估,沒有也無法實現定量化判斷系統的安全性;第五,過去的標準對于控制系統的組成后的外界因素都假定是一成不變的,而沒有考慮到意外因素對系統可靠性和安全性的影響。另外該標準在1999年已經升級為ISO13849-1標準。作為國際標準,必須能夠協調吸納最新的普遍使用的技術,有必要時常進行標準更新,使之能夠更完善更科學。鑒于此種種因素,新的國際標準在2006年出現。即ISO13849-1:2006版。
 圖1:EN954-1 標準中控制系統安全等級
 圖2:ISO13849-1:2006標準中控制系統安全等級 ISO13849-1:2006新標準 2006年發布的新的標準,作為國際化的通用標準,是在ISO13849-1:1999版本的基礎上做的修改。它吸納了新的技術要求,保留了舊的設計原則,對適用的內容作了一定的改進,是比較完善和科學的標準。新標準同舊版本一樣,也是建立在系統風險分析評估的基礎上,同時補充增加了一些新內容。首先新的ISO13849-1:2006在以前標準要求的系統的確定性上,增加了系統故障概率方面的評估,從而更全面地實現從元件到系統進行科學地評估。其次最明顯的在原來的EN954-1標準的基礎上做了改進,而且還補充增加了3項內容,從而使一個控制系統的安全評估內容,需要從4個方面來全面衡量,而不僅僅是風險分析和采用的控制類別。新評估項目的增加,也為設計人員提供了更多的設計實現途徑和方法,這一點是過去標準所不可能具有的。這4個參數分別為: ■ 系統實現的安全等級PLr ■ 系統平均無危險故障時間MTTFd ■ 系統診斷檢測范圍 DC ■ 共因故障預防CCF 下面就新標準的4個方面新要求具體介紹。 系統實現的安全等級PLr(簡稱安全等級) PLr是一個新名詞,表征一個控制系統防范危險的能力和程度。它是在過去標準的基礎上演變而來。過去大家熟悉的EN954-1標準中,主要是根據風險評估,確定控制系統一個相應的控制類別CCx。 根據新標準的要求,確定系統安全等級的方式發生了變化。風險分析參數還是S,F,P,但是結果卻不同。新標準中采用了5個新的表示不同安全等級的需求的參數PLr,即a,b,c,d和e,分別代表了系統安全等級從低到高,對應的危險也是從低到高。對應于過去安全控制類別B,1,2,3,4。而且改進之處是每個需要的安全等級都和這3個參數有關,無論傷害的嚴重與否。在舊標準中,若危險傷害程度小,可以直接確定安全控制類別B或1,這一點是新標準與舊標準的第二個不同點。在稱呼上,新改進標準更能體現控制系統安全等級的實際含義,更合理地體現風險評估的結果需要,而且可以作為減少風險的措施和最終的檢驗方法。 平均無危險故障時間MTTFd MTTF已經存在于其他行業很多年了,而引入到機器安全控制系統領域,則是剛剛開始。 該值可以屬于一個元件,也可以是針對一個系統的描述。通常,對單個元件,它的MTTFd由該元器件的生產者或供應商提供,在今后的產品樣本和說明書中,用戶都可以找到元件對應的MTTFd值,時間通常以年為單位。對于一個系統。可以通過分段確定每部分的MTTFd,然后計算出系統的平均無故障時間。
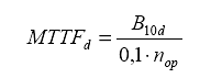
 需要說明的一點是,有些存在磨損的元件,使用的次數可能決定了元件首次出現故障的時間。對于這一類器件,供應商通常提供的是另外一個參數B10d,表示每小時出現危險故障的概率。有了B10d,可以通過公式
 折算出該元件的MTTFd。其中0.1是一個校正系數,nop表示每小時操作該元件的平均統計次數。對于常規元器件,也可以在相關標準中找到其MTTFd或B10d值。比如門鎖開關,在ISO13849-1:2006中給出B10d的值是2,000,000。 系統診斷檢測范圍 DC 系統診斷檢測范圍,是衡量該系統控制范圍的一個參數,通常以百分比的形式出現。根據數值大小,分別表征范圍的高與低。
 如何獲得DC值? 同樣,由供應商提供,或者在ISO13849-1標準中查找。對于一個復雜的系統,獲取DC值,可以將大系統劃分為多個小系統,分別計算出各自的DC值,最后利用公式
 計算出平均值。 共因故障預防與控制CCF 對于一個需要較高安全等級的控制系統,可能采用雙通道。如何控制那些可能導致雙通道同時失效或出現故障的因素?這是新標準中對控制系統增加的最后一個衡量指標。該參數常常以數值表示。對于不同的產品,生產制造商應該給出采用其產品和相應的預防措施可獲得的結果。如果供應商不能提供,可依據產品制造符合的標準和采用的方法,在標準IS013849-1標準中查找。通常要求該值要超過65分,才表示該系統采取的控制措施在預防共因故障方面符合要求。 PL和CC,DC,MTTFd參數的關系 在4個參數中,最重要的還是控制類別。從下面的表中,我們可以發現,要實現相同的控制安全等級,新標準給出了更多的選擇實現方法。比如對于一個控制安全等級PLd的系統,可以采取以下的方法: ■ 控制類別CC3,DC檢測范圍低,MTTFd高的組合。 ■ 控制類別CC3,DC檢測范圍一般,MTTFd一般的組合。 ■ 控制類別CC2,DC檢測范圍一般,MTTFd高的組合。 還有更多組合選擇。這樣,對設計人員,可以采取其中任何一種,從而具有更大的靈活性。可以說,PL是控制類別CC,MTTFd,診斷范圍DC 和CCF的一個綜合表現。 EN954-1的總結 ISO13849-1:2006新標準出現,是不是意味著EN954-1的終結?EN954-1作為歐盟協調標準,存在并使用了多年了,很多用戶已經非常熟悉,而在發展中國家,也許有的人才剛剛接觸。但是新的國際標準基本上對舊標準中存在的問題,都已改進解決,方法更科學,內容更全面,在2006年頒布實施,而且歐盟也將采用該國際標準。根據法規的要求,允許有一個3年的過渡期。在此期間,新舊標準可以并存。到2009年11月,新的國際標準將強制執行。 |