比例-積分-微分控制器在引入控制界60多年以后,仍保留了它們在工業過程控制中的主導地位。 自18世紀以來,負反饋一直被用于連續過程控制。James Watt曾用飛球調速器來控制其著名的蒸汽機的運轉速度,當蒸汽機速度降得太低時利用飛球調速器來自動增加蒸汽,而當速度升得太高時則用飛球調速器來減少蒸汽。 這種簡單的平衡動作保留了當今過程控制的一些基本功能即:測量過程變量、從設置點上減去變量以獲得誤差、以及在誤差為正時運用控制量來驅動過程變量增加或在誤差為負時驅動過程變量減少,這種過程重復進行直至誤差消除。 控制器設計中的精妙之處在于計算出每種情況下控制器需向過程施加多少校正量。比例控制器只是簡單地將誤差乘以一個常數來計算它的下一步輸出,而Watt設計的飛球調速器,則是根據由設備幾何尺寸及可調固定螺絲位置所確定的常數,并以機械方式來完成這種控制。 但不幸的是,當比例控制器驅動過程變量足夠接近設置點時它往往退出工作,并停留在一個使誤差很小但卻為非零值的固定輸出上。有關此種穩態誤差現象的更詳細解釋,請參見CONTROL ENGINEERING 2000年6月刊“了解PID控制”一文。 積分作用 20世紀30年代的控制工程師們發現,誤差可通過自動將設置點重設為一個人為高值而得以完全消除。這一概念是讓比例控制器具有一個人工設置點,從而使實際誤差在控制器停止工作時為零,這實際上是在實際誤差不為零時,通過緩慢提升(或降低)該人工設置點來使誤差為零。 當發生時,這種自動重設操作對于對誤差積分、或將其全部增加到控制器比例項輸出中而言,在數學上具有同樣的效果,其結果即為一種可繼續保持誤差增加輸出、直至誤差完全消除的“比例積分”(PI)控制器。
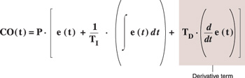
 圖1:傳統的PID公式通過對誤差信號進行微分來計算微分項:e(t) = SP(t) - PV(t),其中PV(t)為t時刻的過程變量,SP(t)是設置值,CO(t)為控制器的全部輸出,P、TI及TD 則分別為定義比例、積分及微分項的“整定常數”。 但不幸的是,積分作用并不能保證實現完美的反饋控制。如果積分作用過強,則PI控制器可能引起 “閉環不穩定”(參見CONTROL ENGINEERING 2000年5月刊 “控制器必須以閉環穩定性來平衡性能”一文)。控制器也可能對誤差進行“過校正”,從而引起新的、甚至更大的反向誤差。當發生這種情況時,控制器最終將在“完全開”及“完全關”之間來回驅動其輸出,即開始出現所謂的“振蕩”現象。
 圖2:在此例中,如果設置點僅以步進的方式改變,則微分無論怎樣都幾乎總是為零,因此可通過對過程變量負增長求導來計算微分作用。 微分作用 振蕩有時可通過向混合信號增加微分作用來予以矯正。全“比例-積分-微分”(PID)控制器中的微分項,只有在誤差改變時才起作用。如果設置點為常數,則只有在過程變量開始移向(或離開)設置點時誤差才開始改變,而這在前面的控制量使過程變量接近設置點太快時尤其有用。因此,微分作用所提供的減速作用可減少產生超調及振蕩的可能性。
圖3:只要設置點突變,從誤差信號來計算微分項均將在微分作用中造成尖峰。 不幸的是,如果微分作用過強,則可能由于減速太快而由其自身引起振蕩。這種現象在一些對控制反應非常靈敏的過程控制中(比如電機或機器人等)尤為明顯。 當新設置點使誤差發生突變時,微分作用也趨向于使控制器輸出中產生明顯的“尖峰”或“突跳”,而這迫使控制器無需等待積分或比例作用生效即開始立刻采取校正行動。與只有兩項的PI控制器相比,全PID控制器甚至能預測將過程變量保持在新設置點上所需控制量的大小。事實上,當Tayor公司著名的Fulscope控制器首次以全三項推出時,還只將微分項標為“預-作用”。
 圖4:利用修正后的微分項,可消除設置點改變時微分作用中所出現的尖峰。但如果設置點在步進改變之間波動,則修改后的微分項將產生錯誤的結果。 微分的缺陷 另一方面,控制量的劇烈擺動,在一些要求控制器輸出進行緩慢而穩定變化的應用(例如室溫控制等)中變得非常煩人。自動調溫器每次調整后所產生的熱風,不僅使房屋居住者很不舒服,而且也會縮短采暖爐(或空調)的使用壽命。 對于此類應用,最好是事先完成所有微分作用,或者從負過程變量(而不是直接從誤差)中來計算微分項。如果設置點為常數,則兩種計算結果相同;如果設置點僅以步進方式來改變,則除每一步進開始時刻外,兩種計算結果仍將一致。過程變量負導數(負微分)將不會在誤差微分中造成尖峰,關于此點,請參見“更平滑的微分作用”一圖。目前大多數現代控制器都能為經不起“突跳”的應用提供此類選項。 微分作用對于一些對噪聲抑制有較高要求的應用來說也是一個問題。當過程變量每次準備改變時,微分項都會對控制器的輸出產生影響。即使實際的過程變量已經達到設置點,控制器也可能還會有校正輸出。因此,實際上所有現代控制器都具有濾波選項,以為微分項提供更為平滑的輸入。 總之,微分作用被眾多控制工程師認為是缺陷多于優點。即便如此,到50年代中期,完整的“比例- 積分-微分”(PID)控制器已成為一種先進的技術,直至今日它仍保留其在過程控制領域中主導地位。對于大多數過程控制應用來說,PID已經足夠使用(采用或不采用微分作用),且相對較容易實現,其基本工作原理也容易被人理解。 PID工作舉例 現在讓我們再回到室溫控制例子。如果房間很大而采暖爐又很小,則過程將傾向于對控制器的控制進行緩慢響應;如果由于有人開窗或在冷天時調高設置點而使過程變量突然偏離設置點,則PID控制器的即刻反應主要由微分作用項而產生,而這又將使控制器對突然偏離零的誤差變化啟動一次緊急校正,同時設置點與過程變量之間的誤差亦將啟動自動調溫器中的比例作用項。 不久,隨著誤差隨時間的積累,積分項也開始對控制器的輸出產生作用。事實上,由于在這種反應遲鈍的過程中誤差增加非常緩慢,故積分作用項將最終在輸出信號中占支配地位。基于積分器中所累積的誤差量,控制器即使在誤差消除后,仍將會繼續產生輸出,此時過程變量有可能超過設置點而產生反向誤差。 如果積分作用不是太強烈,則后來產生的誤差將小于最初的誤差。而且隨著正誤差積累中負誤差量的增加,積分作用將開始逐漸變小。此過程將重復數次直至誤差及累積誤差消除。同時,根據振蕩誤差信號的微分(導數),微分項將繼續增加其在控制器輸出中的份額,而比例項也將隨誤差信號的振蕩而上下波動。 現在假設過程是一個由大型采暖爐供熱的小房間,則該過程將傾向于對控制器的控制進行快速響應。此時,由于誤差存在時間很短,故積分作用將不再在控制器輸出中起主要作用。另一方面,當過程為高度靈敏時,由于誤差快速改變,故微分作用將在控制器輸出中起主要作用。 很明顯,PID控制器可能施加的控制量將隨控制過程的不同而相應變化。因此,盡管PID控制器能夠完成消除誤差的任務,但只有在其與每一應用匹配良好時才可能做得更好。 PID控制器大事記(年表) 1788年:James Watt為其蒸汽機配備飛球調速器,第一種具有比例控制能力的機械反饋裝置。 1933年:Tayor公司(現已并入ABB公司)推出56R Fulscope型控制器,第一種具有全可調比例控制能力的氣動式調節器。 1934-1935年:Foxboro 公司推出40型氣動式調節器,第一種比例積分式控制器。 1940年:Tayor公司推出Fulscope 100,第一種擁有裝在一個單元中的全PID控制能力的氣動式控制器。 1942年:Tayor 公司的 John G. Ziegler 和 Nathaniel B. Nichols 公布著名的Ziegler-Nichols 整定準則。 第二次世界大戰期間,氣動式 PID 控制器用于穩定火控伺服系統,以及用于合成橡膠、高辛烷航空燃料及第一顆原子彈所使用的U-235 等材料的生產控制。 1951年:Swartwout公司(現已并入Prime Measurement Products公司)推出其Autronic產品系列,第一種基于真空管技術的電子控制器。 1959年:Bailey Meter公司(現已并入ABB公司)推出首個全固態電子控制器。 1964年:Tayor公司展示第一個單回路數字式控制器,但未進行大批量銷售。 1969年:Honeywell公司推出Vutronik過程控制器產品系列,這種產品具有從負過程變量而不是直接從誤差上來計算的微分作用。 1975年:Process Systems公司(現已并入MICON Systems公司)推出P-200型控制器,第一種基于微處理器的PID控制器。 1976年:Rochester Instrument systems公司(現已并入AMETEK Power Instruments)推出Media控制器,第一種封裝型數字式PI及PID控制器產品。 1980年至今年:各種其他控制器技術開始從大學及研究機構走向工業界,用于在更為困難的控制回路中使用。這其中包括人工智能、自適應控制以及模型預測控制等。 請參見筆者撰寫的“自適應控制技術”一文,可從 www.controleng.com上的 CONTROL ENGINEERING bookstore中得到。 |